Luftwärmepumpe oder Gas und Solar nutzen?

4,20 Stern(e) 5 Votes
Zuletzt aktualisiert 05.10.2025
Sie befinden sich auf der Seite 25 der Diskussion zum Thema: Luftwärmepumpe oder Gas und Solar nutzen?
>> Zum 1. Beitrag <<

ares83

ares83

Warum geht die Warmwasser Aufbereitung auf den Heizstab? Bei unserer Luft-Wasser-Wärmepumpe ging selbst bei -5 Grad bei der Warmwasserbereitung der Heizstab nicht an. Bei einer Solewasserwärmepumpe hat man ja eine deutlich höhere Quellentemperatur, warum sollte da der Heizstab anspringen? Da wird ja auch nicht 1:1 die Temperatur der Quelle übernommen.
 
S

Saruss

Also das "sehr erfahren" mag sein, aber es trifft dann wohl auch "nicht fortgebildet" zu. Denn die Aussage des Installateurs ist einfach komplett falsch. Er hat wohl auch sein ganzes Leben noch nie in die Anleitung irgendeiner Wärmepumpe geschaut. Schade für einen Fachmann.
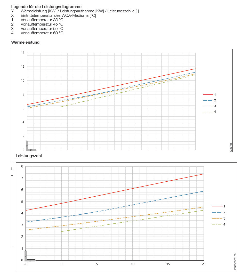
Als Belegt habe ich mal aus einer Sole-Wärmepumpe-Anleitung (~4 Jahre alt, ein ähnliches Modell wie die Meine) die technischen Daten in ein Bild gepackt. Ich bin sicher, du findest bei einer aktuellen Wärmepumpe deiner Wahl bestimmt mittlerweile sogar bessere Daten. Was kann man da ablesen?
Bis zu einer Soletemperatur von 0° Eingang erhitzt die Wärmepumpe Warmwasser bis auf 60° mit einer Arbeitszahl von 2,4, d.h. aus 1kWh Strom -> etwa 2.4kWh Wärmeenergie und wenn man etwas spart und nur mit 55° warmem Speicher fährt kann man auch mit noch kälterer Sole fahren oder bekommt bessere Arbeitszahlen (meine Bohrung ist bisher stets im + Bereich geblieben als Eingang, auch im Winter eher +5- +10°, für die Geräte ist aber prinzipiell ganz normal mit negativen Soletemperaturen zu arbeiten, das ist z.B. beim Grabenkollektor oft der Fall -> die Vereisung bringt viel Energie).
Meine Sole-Wärmepumpe ist in den letzten 4 Jahren nicht einmal in den Heizstabbetrieb gegangen. Da kann es draußen noch so kalt sein, die Sole war stabil von der Temperatur und die Wirkungsgrade gut (bei 0° Grad Sole reicht die Wärmepumpe bei uns bis etwa -30°C Außentemperatur von der Leistung).
Da kann ich dem Vorredner nur recht geben. Gerade wenn es sehr kalt ist, ist die Sole-Wärmepumpe vom Vorteil gegenüber Luft-Wasser-Wärmepumpe.
Zwei Diagramme: obere Wärmeleistung (4 Linien), darunter Leistungszahl (4 Linien).


[Edit] Die Arbeitszahlen sehen noch nicht so beeindruckend aus, aber bei uns haben wir bei 0° Außentemperatur einen Vorlauf von etwa 25° bei einer Soletemperatur zw. 5 und 10 Grad ist man schon im oberen 6er Bereich..
 
Zuletzt bearbeitet:
R

R.Hotzenplotz

Warum geht die Warmwasser Aufbereitung auf den Heizstab? Bei unserer Luft-Wasser-Wärmepumpe ging selbst bei -5 Grad bei der Warmwasserbereitung der Heizstab nicht an.
Es ging nicht um die Außentemperatur; er sagte, die Wärmepumpe kann mit der Erdwärme das Warmwasser nur bis auf 25° erwärmen und danach springt der Heizstab ein. Ich muss mal die Anleitung von der Waterkotte AI 1 Geo suchen und nachlesen. Wobei ich auch immer Sorge habe, dass die Hersteller zu positive Phantomwerte angeben (siehe Abgasskandal, etc.).


@Saruss
Es ist echt ein Riesen Problem, jemanden zu finden, der einem das Rätsel löst.
 
ares83

ares83

Es ging nicht um die Außentemperatur; er sagte, die Wärmepumpe kann mit der Erdwärme das Warmwasser nur bis auf 25° erwärmen und danach springt der Heizstab ein.
Das klingt nach Unsinn. Eine Wärmepumpe arbeitet ja immer mit einem Verdichter etc. um die Temperaturen zu erhöhen, bei einer Luft-Wasser-Wärmepumpe hat der natürlich mehr zu tun als bei einer Sole-Wasser-Wärmepumpe, deshalb auch der höheren Verbrauch. Das hat erst mal nichts mit dem Heizstab zu tun, der ist ja nur für Notfälle da. Kann man problemlos auch in 2 Minuten ergoogeln. Ich würde auf die Meinung dieses "Experten" gar nichts geben.
 
R

R.Hotzenplotz

Kann man denn speziell für diese Wärmepumpe herausfinden, wie effizient sie für die Warmwasser Bereitung ist?

Eine Bedienungsanleitung finde ich nicht. Hilft die Wärmepumpen-Verbrauchsdatenbank da irgendwie weiter? Ich sehe da leider nichts, was ich heraus ziehen könnte.
 
ares83

ares83

Hast du so große Anforderungen an die Warmwasser-Bereitung? Bei uns mit 2 Personen und Luft-Wasser-Wärmepumpe machte die im Dezember gerade mal 50kWh aus.
 
Zuletzt aktualisiert 05.10.2025
Im Forum Wärmepumpen / Lüftungsanlagen gibt es 805 Themen mit insgesamt 11683 Beiträgen


Ähnliche Themen zu Luftwärmepumpe oder Gas und Solar nutzen?
Nr.ErgebnisBeiträge
1Tecalor THZ 504 Luft-Wasser-Wärmepumpe keine 2 Monate in Betrieb und dauernd defekt 50
2Warmwasser nur mit Wärmepumpe? - Seite 210
3Luft-Wasser-Wärmepumpe Tecalor 8.5: Warmwasser - nicht heiß am morgen 21
4Neubau Einfamilienhaus, Gas oder Wärmepumpe, Ziel KfW55 - Seite 329
5Erfahrungen Sole-Wärmepumpe - Seite 2491
6Gas oder Wärmepumpe im KfW55 Haus - Seite 231
7Wärmepumpe mit Wärmepumpentarif ? 37
8NIBE F730 Wärmepumpe Erfahrungen - KFW55 Haus - Seite 13132
9Neubau - Energieverbrauch der Wärmepumpe / El. Zuheizer - Seite 319
10Stromverbrauch Luft-Wasser-Wärmepumpe - Seite 220
11Gasheizung oder Wärmepumpe Luft (Mitsubishi?) oder Grundwasser 16
12Heizlastberechnung 10,3kw, Luft-Wasser-Wärmepumpe mit 9,5kw ausreichend? - Seite 429
13Luft-Wasser-Wärmepumpe Dimensionierung im Neubau - Seite 20311
14Eisbildung Soleleitung Wärmepumpe - Seite 378
15Luft-Wasser-Wärmepumpe aktueller Verbrauch und Daten - Seite 1721439
16Photovoltaik Anlage/ Wärmepumpe, habt ihr 2 Zähler? - Seite 255
17Zusammenspiel zwischen Luft-Wasser-Wärmepumpe und Gasbrennwerttherme? - Seite 217
18Wärmepumpe für KfW55 Haus 148qm - Seite 1099
19Warmwasser von Solaranlage auf Photovoltaik-Anlage umrüsten ? 12
20Optimierung Wärmepumpe LWD 70A mit Photovoltaik 16

Oben