Hausbau - Ratgeber
Bauherrenhilfe
- Bauherrenhilfe vor Vertragsabschluss
-- Warum einen unabhängigen Baubetreuer?
-- Vertragsgrundlagen
-- Bausumme
-- Zahlungsplan zur Kostenkontrolle
-- Pflichten des Bauherren vor Vertragsabschluss
-- Unterlagen beim Hausbau vor Vertragsabschluss
- Bauherrenhilfe nach Vertragsabschluss
-- Bauantrag bei Behörden
-- Bau-Genehmigungsverfahren bei Baubehörden
-- Bauspezifische Versicherungen
-- Bauzeitenplan
-- Baubeginn - die Letzten Pflichten der Bauherrschaft
- Bauherrenhilfe während der Bauzeit
- Gewährleistungsansprüche
- Bauabnahme
Baufinanzierung
- Baufinanzierung - Allgemeine Fragen
- Kreditarten
- Kredit-Konditionen
- Bausparen
- Staatliche Förderungen
- Verkehrswert
- Haushaltsrechnung und Bonität
Hausbau Planung
- Haustypen
- Hausbau Vorbereitungsarbeiten
- Das Baugrundstück
- Baugrund beim Hausbau
- Baurecht
- Gebäudeschutz
- Erdarbeiten und Wasserhaltung
- Stützmauern
- Einfriedung
- Untergeschoss
- Kanalisation
- Tragende Elemente
- Nichttragende Innenwände
- Fundation / Fundament
- Deckenkonstruktionen
- Dächer
- Kaminanlagen
- Treppen Rampen Leitern
- Dachbeläge und Spengler
- Fenster
- Sonnen und Wetterschutz
- Aussenputze
- Einbauten, Küchen, Türen
- Bodenbeläge und Unterlagsböden
- Parkett
- Gips, Wand, Decke
Haustechnik und Energie
- Heiztechnik
- Lüftung und Klimatechnik
- Sanitärtechnik
- Elektrotechnik
- Erneuerbare Energie
Whirlpools / Jacuzzi
Hausbau Magazin
- Baufinanzierung trotz Krise?
- Das Blockhaus
- Moderne Dämmstoffe im Vergleich
- Erker Vor- und Nachteile
- Glasflächen beim Hausbau
- Günstig ein Haus Bauen
- Mediterraner Hausbaustil
- Mehrgenerationenhaus
- Moderne Architektur
- Gartengestaltung leicht gemacht
- Traditioneller Ziegelbau
- Villa als höchster Traum
- Im Eigenheim Ruhestand geniessen
- Altbau sanieren
- Kauf einer Holzgarage
- Immobilienmakler
- Arbeitshandschuhe für den Winter
- Zuhause verschönern
- Outdoor-Plissees
- Schlafzimmer planen
- Terrassenüberdachung
- Wohngebäudeversicherung
- Zaunarten und Eigenschaften
- Hauseingang gestalten
- Der perfekte Grundriss
- Sparsamer heizen im Altbau
- Einfamilienhaus smart finanzieren
- Planung einer PV-Anlage
- Neues Haus
- Immobilienfinanzierung
- Installation einer Photovoltaikanlage
- Asbest erkennen und entfernen
- Gartenpflege im Frühling – worauf achten
- Sauna im Fokus - Wellness zuhause
- Erfolgreich vermieten
- Die perfekte Winterbekleidung
- Das Niedrigenergiehaus
- Der April und seine Stürme
- Architektonische Vielfalt
- Ökologisch und nachhaltig bauen
- Das perfekte Schlafzimmer
- Nachhaltige Energieversorgung
- Zukunftsorientiert bauen
- Nachhaltigkeit beim Hausbau
- Tiny Houses
- Wärmepumpen als nachhaltige Heizvariante
- Maßgeschneiderten Kleiderschrank
- Der richtige Baukredit
- Ratgeber für erfolgreichen Hausbau
- Haus als Altersvorsorge
Do-it-yourself Anleitungen
- Verlegeanleitung für Bodenbeläge und Parkett
- Bodenbeläge und Parkett reinigen und pflegen
- Malerarbeiten am Haus
- Garten Tipps
- Umzug und Reinigung

ᐅ Planung bzw Raumaufteilungen - Was haltet ihr davon?

Erstellt am: 21.01.20 12:54
R
RaBa2020
bauenmk202021.01.20 20:43
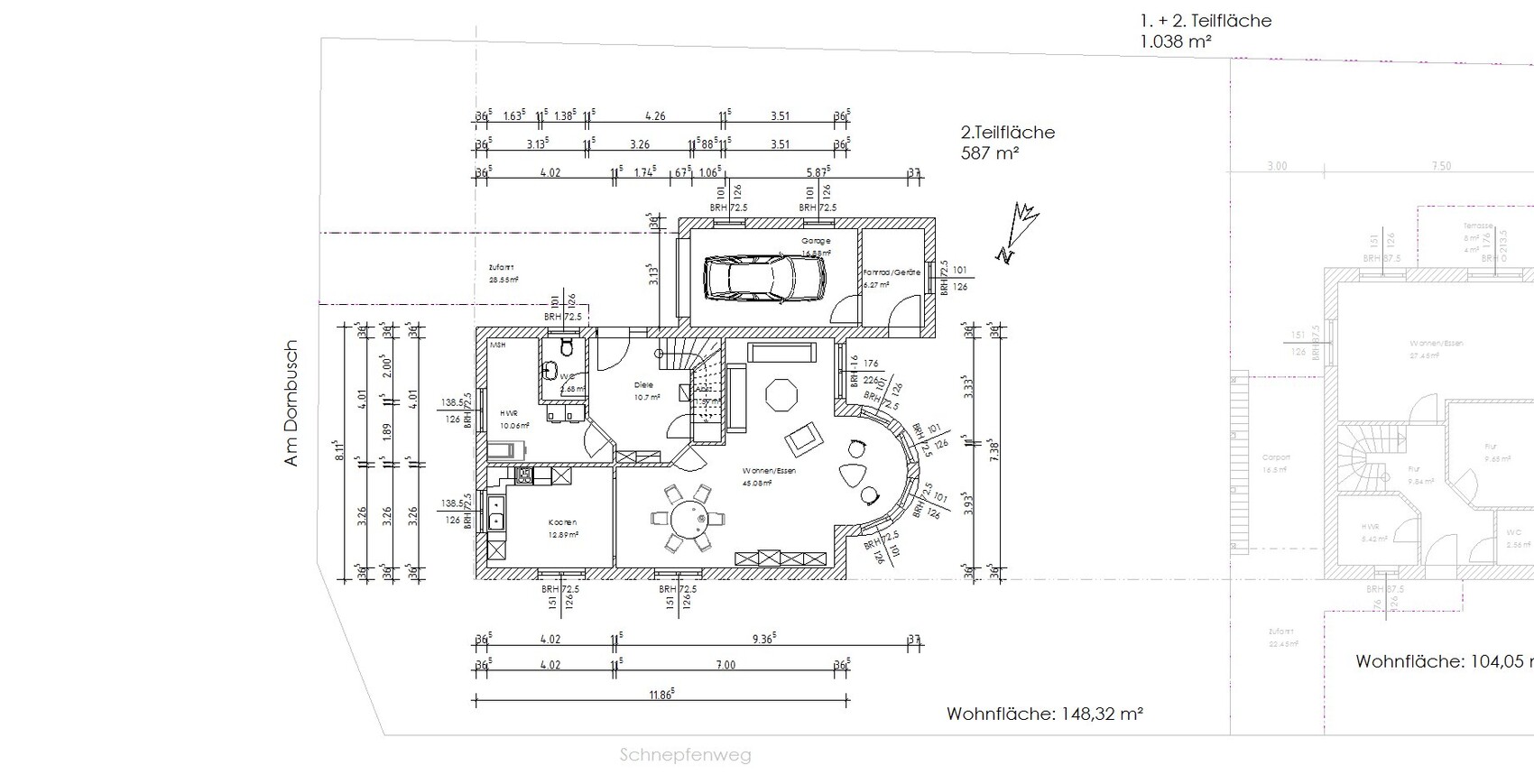
Kannst du die Garage nicht als Grenzbebauung direkt an die Nachbars Garage setzen?
Die beiden Fenster in der Garage braucht es eigentlich auch nicht.
Eingang ins Haus müsste bei versetzen der Garage dann an die schmale Hausseite.
L
ltenzer
21.01.20 22:13
11ant schrieb:

Wo siehst Du Größe in diesem Haus ?

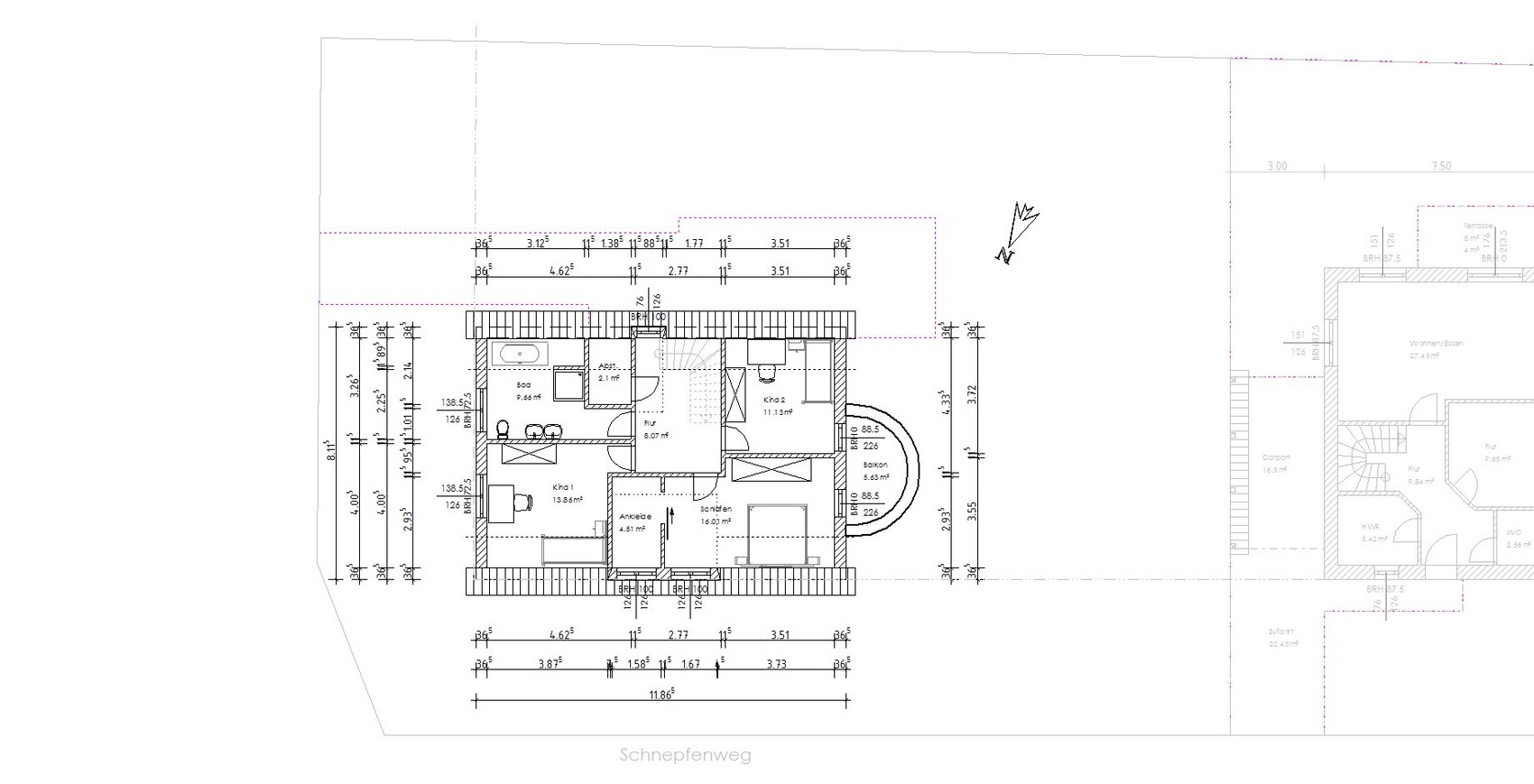
Flurbereiche und Schlafzimmer haben deutlich mehr qm als erforderlich und sind im Verhältnis zu den Kinderzimmer riesig.
Auch der Wohnbereich hat relativ viel Fläche. Für ein insgesamt großzügiges Haus nicht zu viel, aber die Großzügigkeit hat sich nicht bis in den Nachwuchsbereich durchgesetzt. Falls die Gesamtgröße fix ist, sollte dringend eine bessere Umverteilung erfolgen.
kbt0921.01.20 22:54
Die Garage müßte doch auf der Grenze sitzen. Da dürfen doch gar keine Fenster sein.

Die Grundrisse sind weiterhin nicht bemaßt. Es fehlen auch Brüstungshöhe der Fenster ... das eine Kinderzimmer wird eine dunkle Höhle.

Was heißt Z1?
kbt09 schrieb:

da weder Nordpfeil, Lageplan, Erklärungen wer dort wohnen soll usw. Noch nicht mal das, was dir gefällt oder wo du Zweifel oder Fragen hast.
Nordpfeil muss man sich erarbeiten und das Haus erst mal so drehen, wie es vermutlich aufs Grundstück soll.

Ab Erklärungen fehlt alles immer noch.
R
RaBa2020
22.01.20 09:39

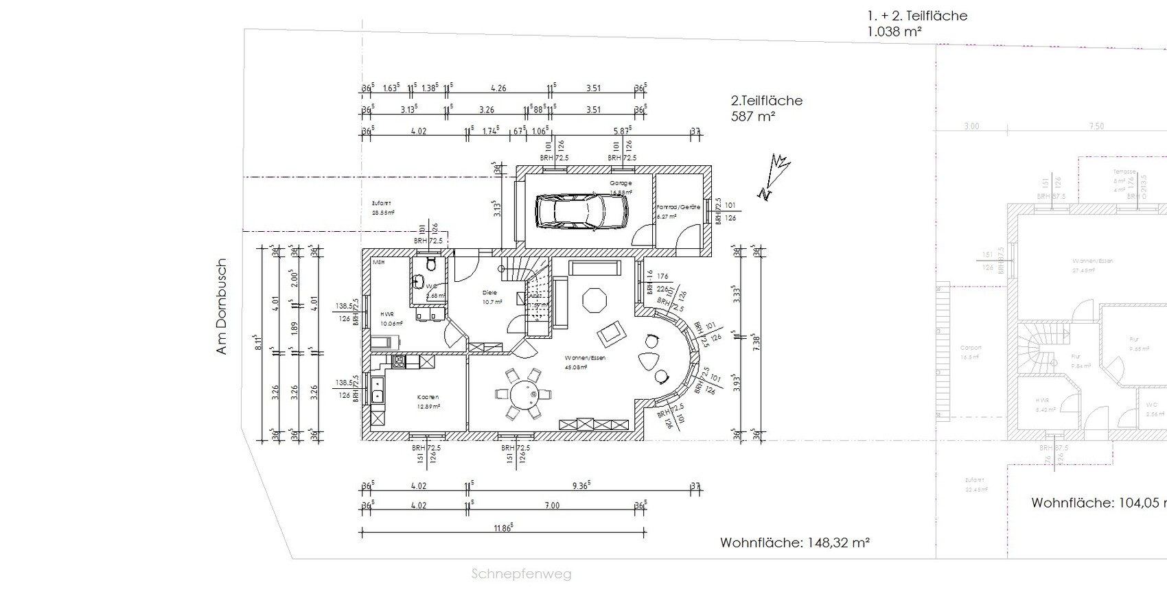
Detaillierter Grundriss eines Hauses mit Garage, Küche, Wohnen/Essen, Diele, HWR, WCs.

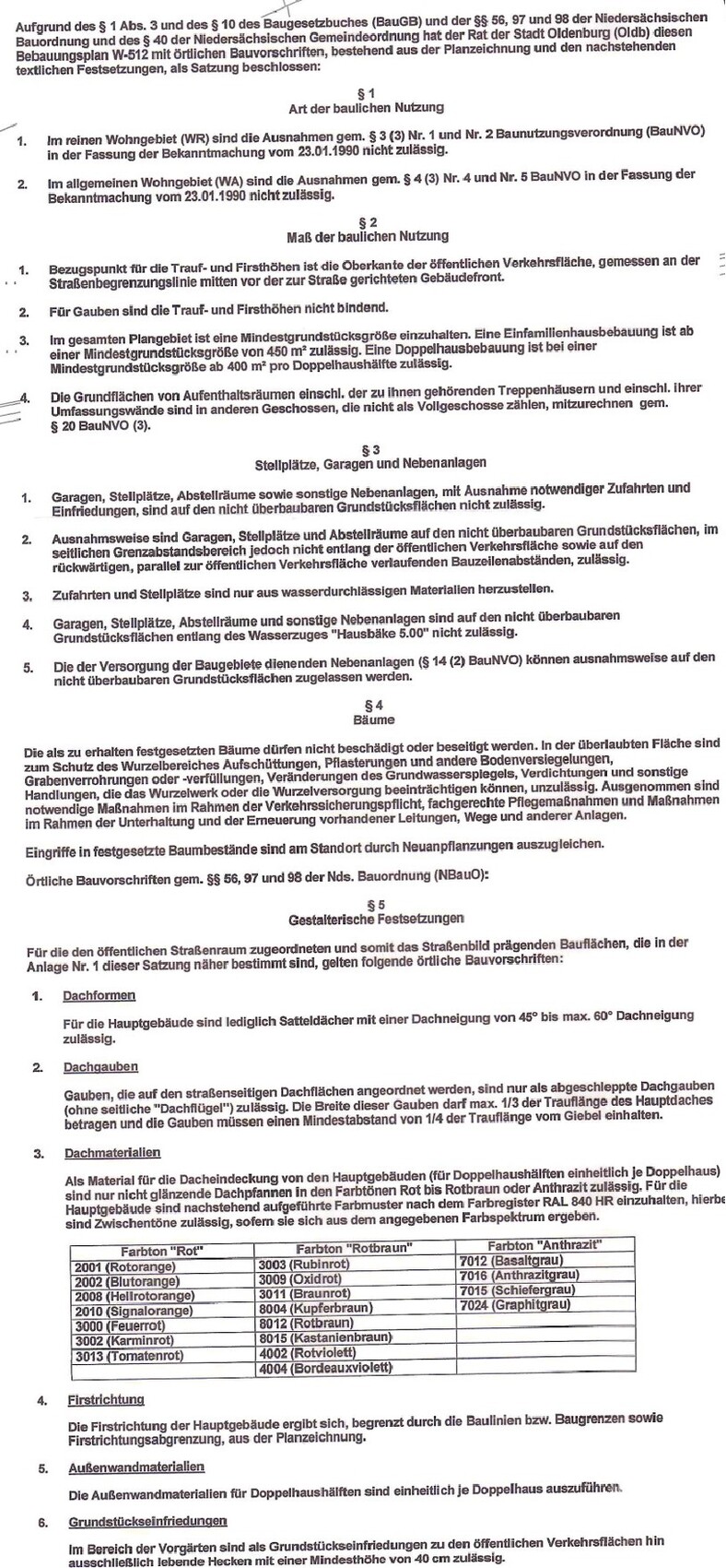
Grundriss eines Wohnhauses mit Schlafzimmer, Bad, Ankleide, Flur, Balkon und Wohn-/Essbereich

CAD-Zeichnung einer Straßen-Skizze mit Maßlinien, grünem Rechteck und Nordkompass.

Bebauungsplan mit §§ 1–5, Nutzungen, Stellplätze, Bäume und Festsetzungen.
R
RaBa2020
22.01.20 09:41
kbt09 schrieb:

Die Garage müßte doch auf der Grenze sitzen. Da dürfen doch gar keine Fenster sein.
Warum müsste die Garage auf der Grenze sitzen?

Die Grundrisse sind weiterhin nicht bemaßt. Es fehlen auch Brüstungshöhe der Fenster ... das eine Kinderzimmer wird eine dunkle Höhle.

Was heißt Z1? = Max. 1- geschossige Bauweise


Nordpfeil muss man sich erarbeiten und das Haus erst mal so drehen, wie es vermutlich aufs Grundstück soll.

Ab Erklärungen fehlt alles immer noch.
R
RaBa2020
22.01.20 09:44
ypg schrieb:

... und wo ist der zweite Stellplatz?
1 Stellplatz in der Garage. Der 2. Stellplatz innerhalb der Zufahrt
garagefensterkinderzimmerstellplatz