Hausbau - Ratgeber
Bauherrenhilfe
- Bauherrenhilfe vor Vertragsabschluss
-- Warum einen unabhängigen Baubetreuer?
-- Vertragsgrundlagen
-- Bausumme
-- Zahlungsplan zur Kostenkontrolle
-- Pflichten des Bauherren vor Vertragsabschluss
-- Unterlagen beim Hausbau vor Vertragsabschluss
- Bauherrenhilfe nach Vertragsabschluss
-- Bauantrag bei Behörden
-- Bau-Genehmigungsverfahren bei Baubehörden
-- Bauspezifische Versicherungen
-- Bauzeitenplan
-- Baubeginn - die Letzten Pflichten der Bauherrschaft
- Bauherrenhilfe während der Bauzeit
- Gewährleistungsansprüche
- Bauabnahme
Baufinanzierung
- Baufinanzierung - Allgemeine Fragen
- Kreditarten
- Kredit-Konditionen
- Bausparen
- Staatliche Förderungen
- Verkehrswert
- Haushaltsrechnung und Bonität
Hausbau Planung
- Haustypen
- Hausbau Vorbereitungsarbeiten
- Das Baugrundstück
- Baugrund beim Hausbau
- Baurecht
- Gebäudeschutz
- Erdarbeiten und Wasserhaltung
- Stützmauern
- Einfriedung
- Untergeschoss
- Kanalisation
- Tragende Elemente
- Nichttragende Innenwände
- Fundation / Fundament
- Deckenkonstruktionen
- Dächer
- Kaminanlagen
- Treppen Rampen Leitern
- Dachbeläge und Spengler
- Fenster
- Sonnen und Wetterschutz
- Aussenputze
- Einbauten, Küchen, Türen
- Bodenbeläge und Unterlagsböden
- Parkett
- Gips, Wand, Decke
Haustechnik und Energie
- Heiztechnik
- Lüftung und Klimatechnik
- Sanitärtechnik
- Elektrotechnik
- Erneuerbare Energie
Whirlpools / Jacuzzi
Hausbau Magazin
- Baufinanzierung trotz Krise?
- Das Blockhaus
- Moderne Dämmstoffe im Vergleich
- Erker Vor- und Nachteile
- Glasflächen beim Hausbau
- Günstig ein Haus Bauen
- Mediterraner Hausbaustil
- Mehrgenerationenhaus
- Moderne Architektur
- Gartengestaltung leicht gemacht
- Traditioneller Ziegelbau
- Villa als höchster Traum
- Im Eigenheim Ruhestand geniessen
- Altbau sanieren
- Kauf einer Holzgarage
- Immobilienmakler
- Arbeitshandschuhe für den Winter
- Zuhause verschönern
- Outdoor-Plissees
- Schlafzimmer planen
- Terrassenüberdachung
- Wohngebäudeversicherung
- Girokonto für Bauherren finden
- Hauseingang gestalten
- Zaunarten und Eigenschaften
- Der perfekte Grundriss
- Sparsamer heizen im Altbau
- Einfamilienhaus smart finanzieren
- Planung einer PV-Anlage
- Neues Haus
- Immobilienfinanzierung
- Installation einer Photovoltaikanlage
- Asbest erkennen und entfernen
- Gartenpflege im Frühling – worauf achten
- Sauna im Fokus - Wellness zuhause
- Erfolgreich vermieten
- Die perfekte Winterbekleidung
- Das Niedrigenergiehaus
- Der April und seine Stürme
- Architektonische Vielfalt
- Ökologisch und nachhaltig bauen
- Das perfekte Schlafzimmer
- Nachhaltige Energieversorgung
- Zukunftsorientiert bauen
- Nachhaltigkeit beim Hausbau
- Tiny Houses
- Wärmepumpen als nachhaltige Heizvariante
- Maßgeschneiderten Kleiderschrank
- Der richtige Baukredit
- Ratgeber für erfolgreichen Hausbau
- Haus als Altersvorsorge
Do-it-yourself Anleitungen
- Verlegeanleitung für Bodenbeläge und Parkett
- Bodenbeläge und Parkett reinigen und pflegen
- Malerarbeiten am Haus
- Garten Tipps
- Umzug und Reinigung

ᐅ Kontrollierte-Wohnraumlüftung Zuluft platzieren in Schlafräumen in der Wand

Erstellt am: 19.04.17 15:48
K
Kaspatoo
Kaspatoo19.04.17 15:48
Hallo,

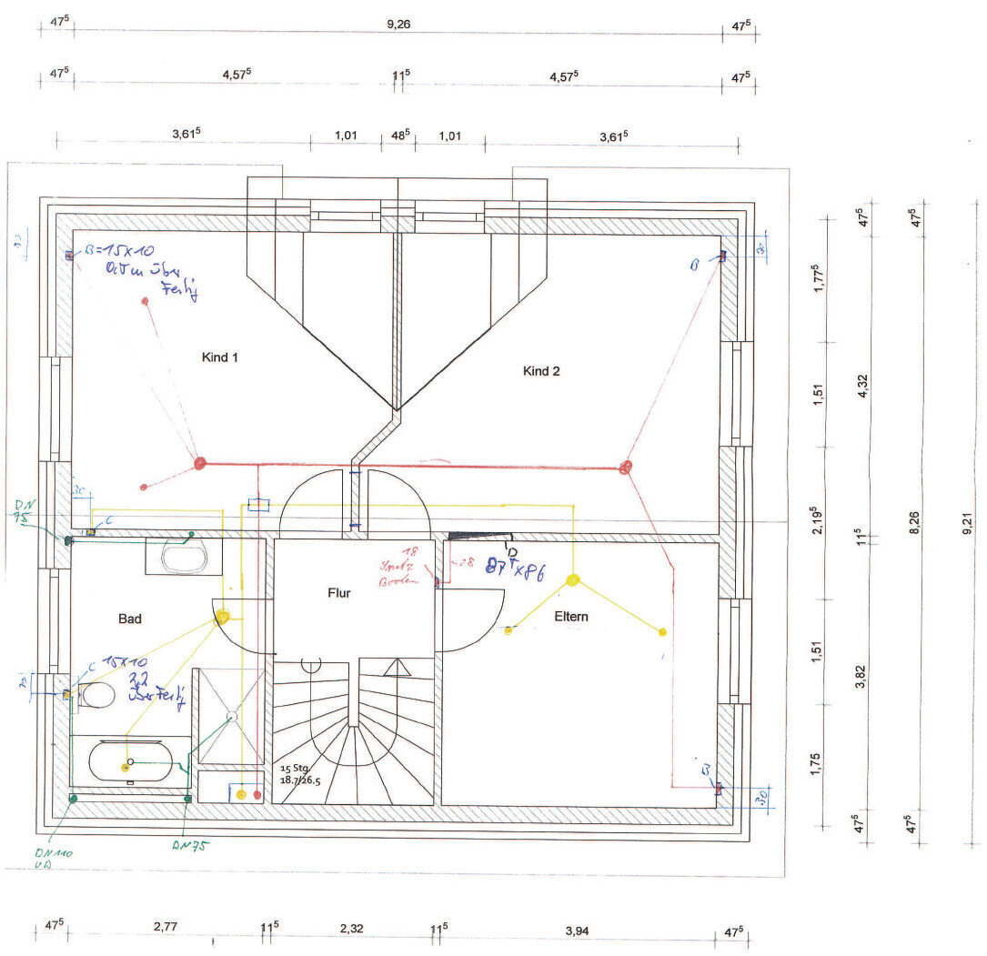
habe nun vom Fachmann den ersten Entwurf des Verlegeplan der Lüftung erhalten.
Er hat On-Floor Flachkanäle geplant (konnte bisher keine fundierten Nachteile gegenüber In-Floow Rundrohren finden).
In UG und EG werden Luft Ein- und Auslässe jeweils in der Decke geplant, kein Problem.

Im DG möchte er das nicht, weil er dann die Rohre über den Dachboden führen müsste. Dieser ist nicht gedämmt/ geheizt und könnte einen Taupunkt im Rohrsystem bilden -> nicht gut.

Also kommen die Ein- und Auslässe in die Wand.
Abluft in 2,20m Höhe, Zuluft in 0,5m Höhe.
Geplant sind diese wie im Anhang zu sehen schön in der Ecke, wodurch ein optimaler Weg für den Luftstrom erreicht würde denke ich.

Allerdings kommen in die Ecken meist auch die Betten. Ein Bett vor der Zuluft klingt eher unpraktisch. Zum einen weil die Öffnung durch das Bett blockiert wird und zum anderen weils dann im Bett ziehen wird.

An die langen freien Wände gehören Kleiderschränke.
Die beiden Fenster im Zwerchgiebel sind Bodentief, die anderen sind Brüstungsfenster.
Ich kenne es so, dass unter den Brüstungsfenstern oft der schreibtisch stand, konnte man schön rausschauen.
Letzteres ist sicher ein Streitthema, aber das möchte ich gar nicht groß diskutieren.

Die Abluft in 2,20m Höhe kann meiner Ansicht nach ruhig in der Bett-Ecke sein, ich liege ja unten bekomme davon nichts mit!?
Die Problematik betrifft also eher nur die beiden Kinderzimmer.
Hier dachte ich, könnten die Zuluft-Öffnungen entweder unmittelbar neben jeweils dem bodentiefen Fenster oder in die Wand zwischen den beiden Kinderzimmern.



Was wären eure Ideen und Bedenken zu dem Thema?
Seht ihr das mit dem Taupunkt anders? Ein und Auslässe in der Decke wären meiner Meinung nach noch das schönste.

Vielen Dank.
Kaspatoo19.04.17 16:00
neuer Versuch mit dem Fotoupload:

Grundriss eines Hauses: Flur, Bad, Elternzimmer, zwei Kinderzimmer und Treppe.
RobsonMKK19.04.17 16:07
Was spricht gegen Zuluft über den Boden vor den Fenstern?
ares8319.04.17 16:33
RobsonMKK schrieb:
Was spricht gegen Zuluft über den Boden vor den Fenstern?
Die Frage stellte ich mir auch. Bei uns wird das im OG auch über den Boden gemacht.
Kaspatoo19.04.17 17:35
Wie gesagt, da darf auch mal ein Schreibtisch vorgestellt werden, der würde die Öffnung verdecken.
Oder was meinst du mit "vor den Fenstern"? Daneben?
RobsonMKK19.04.17 17:37
Da du 2 Fenster hast, wird ja nicht vor jedem ein Schreibtisch stehen.
zuluftbettauslässefensterschreibtischtaupunktabluft