ᐅ Einfamilienhaus BJ2004 Sanierungsfahrplan / Photovoltaik etc.
Erstellt am: 22.06.22 21:33
A
Acetone1424A
Acetone142422.06.22 21:33Hallo Freunde,
Ich habe ein Einfamilienhaus welches im Jahr 2004 gebaut/bezogen wurde (hatte aber damals nichts mit dem Bau zu tun gehabt).
Nun wollten wir mal etwas bzgl. Thema Energie am Haus ändern/verbessern.
Bis jetzt haben wir eine Viessmann Gasheizung von 2004.
Ich hatte mir gedacht, dass wir die Gasheizung mit einer Luft/Wasser Wärmepumpe ersetzen und diese mit einer Photovoltaik Betreiben (also in der Theorie, wie das in der Praxis funktioniert bei uns habe ich keinen Plan).
Also habe ich einen Energieberater gefragt ob er mal vorbeikommt und einen Vorschlag macht. Für mich machen die meisten Vorschläge sinn (allerdings bin ich halt Laie und kann das nur Oberflächlich nachvollziehen).
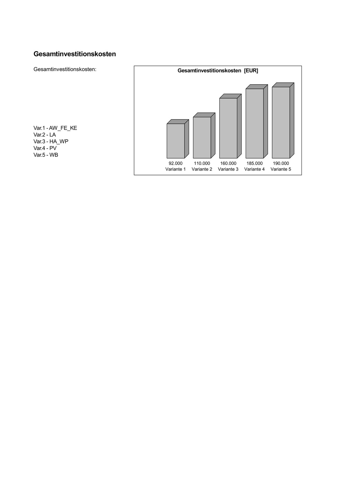
Ich bitte euch hier sich den Plan mal anzuschauen und ggf. Anmerkungen zu hinterlassen.
Wenn ihr eine Idee hättet wie ich die PDF Dateien hier vielleicht etwas besser teilen könnte als in millionen JPGs umzuwandeln wäre ich dankbar (soweit ich das Verstanden habe wünscht das Forum keine Verlinkungen auf andere Seiten), vor allem da ich ja nur 10 Dateien anhängen kann?
Meine Gedanken zu dem Plan sind folgende:
Maßnahmenpaket 1 sehr teuer (ggf. keine Wärmeschutzverglasung? aktuelle Fenster okay? ) vor allem im Vergleich zu den Einsparungen (gute Chance dass der Gedanke von mir Quatsch ist)
Sonst hätte ich aber auch alles gemacht.














































































Ich habe ein Einfamilienhaus welches im Jahr 2004 gebaut/bezogen wurde (hatte aber damals nichts mit dem Bau zu tun gehabt).
Nun wollten wir mal etwas bzgl. Thema Energie am Haus ändern/verbessern.
Bis jetzt haben wir eine Viessmann Gasheizung von 2004.
Ich hatte mir gedacht, dass wir die Gasheizung mit einer Luft/Wasser Wärmepumpe ersetzen und diese mit einer Photovoltaik Betreiben (also in der Theorie, wie das in der Praxis funktioniert bei uns habe ich keinen Plan).
Also habe ich einen Energieberater gefragt ob er mal vorbeikommt und einen Vorschlag macht. Für mich machen die meisten Vorschläge sinn (allerdings bin ich halt Laie und kann das nur Oberflächlich nachvollziehen).
Ich bitte euch hier sich den Plan mal anzuschauen und ggf. Anmerkungen zu hinterlassen.
Wenn ihr eine Idee hättet wie ich die PDF Dateien hier vielleicht etwas besser teilen könnte als in millionen JPGs umzuwandeln wäre ich dankbar (soweit ich das Verstanden habe wünscht das Forum keine Verlinkungen auf andere Seiten), vor allem da ich ja nur 10 Dateien anhängen kann?
Meine Gedanken zu dem Plan sind folgende:
Maßnahmenpaket 1 sehr teuer (ggf. keine Wärmeschutzverglasung? aktuelle Fenster okay? ) vor allem im Vergleich zu den Einsparungen (gute Chance dass der Gedanke von mir Quatsch ist)
Sonst hätte ich aber auch alles gemacht.
D
Deliverer22.06.22 22:06Sorry, aber das liest ja keiner.
Grundsätzliches vorgehen:
1: Alle Dächer mit Photovoltaik voll.
2: Wenn es was zu sanieren gibt, sanieren.
3: BEVOR die Heizung kaputt geht, ordentlichen Plan zurechtlegen, wie man dann im Ernstafall schnell auf Wärmepumpe umsteigen kann. Sobald der Plan steht, kann man auch jederzeit früher einfach umsteingen. Die Kinder danken es.
Grundsätzliches vorgehen:
1: Alle Dächer mit Photovoltaik voll.
2: Wenn es was zu sanieren gibt, sanieren.
3: BEVOR die Heizung kaputt geht, ordentlichen Plan zurechtlegen, wie man dann im Ernstafall schnell auf Wärmepumpe umsteigen kann. Sobald der Plan steht, kann man auch jederzeit früher einfach umsteingen. Die Kinder danken es.
Ähnliche Themen