Hallo zusammen,
meine Frage ist vielleicht etwas aus der Reihe und hat im Grunde nicht direkt etwas mit Baufinanzierung zu tun. Nachdem meine Mutter (Rentnerin) vor einem halben Jahr schwer an Krebs erkrankt ist, versuche ich Ihre Schulden und Finanzen wieder auf Kurs zu kriegen, da sie nur gerade so über die Runden kommt.
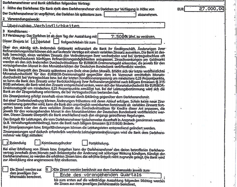
Einer der unzähligen Punkte ist eine Restschuld, die sie bei der Bank hat. Sie muss noch etwa 17.000Euro abzahlen und zahlt jeden Monat 190Euro ab (seit dem Jahr 2003). Alle 3 Monate werden dann 350Euro wieder abgezogen (Zinsen). Ich kenne mich absolut nicht aus, doch mir hat jemand gesagt, dass das für jetzige Verhältnisse sehr viel Zinsen sind und dass sie ein Darlehen mit Variablen Zinssatz hat (EURIBOR) (Details im Anhang) und die Bank eigentlich die Zinsen an diesen anpassen muss (Ich weiß nicht was das bedeuten soll). Jedenfalls meinte die Dame bei der Bank, dass das nicht stimmt und das die 350Euro alle 3 Monate passen und auch wenn dieser EURIBO sinkt das nicht an den Zinsen meiner Mutter macht, stimmt das? Ich habe in einem Forum gelesen, dass die Zinsen angepasst werden sollten, die Bank es nicht getan hat und er nun klagt. Könnt Ihr mir vielleicht erklären wie sich dieser EURIBOR wert in zahlen (quantitativ) auf Ihre zu zahlenden Zinsen auswirkt, denn wenn meine Mutter bei steigenden EURIBO mehr zahlen muss kann es doh eigentlich nicht sein, dass sie seit 2003 immer den gleichen Zins zahlt (wie berechnet man den aktuellen Zins eigentlich den man gerade im monat zahlt aus dem was man bezahlt nud was an zinsen abgeht alle 3monate)? Ich habe bei der Bankdame jetzt so lange nachgebohrt, bis sie mir vorgeschlagen das ganze umzuschulden sprich das Darlehen aufzulösen und dafür ein neues mit einem niedrigen Zinsansatz zu vergeben. Ich habe aber angst, dass ich meine Mutter jetzt irgendwie in noch größere Probleme verwickle, obwohl ich ihr nur irgendwie helfen will. Muss ich da auf etwas aufpassen z.B. das er einmal die bestätigung kommt, dass der neue Kredit wirklich gewährt wird bevor sie den aktuellen ablöst. Dann vielleicht kriegt sie keinen neuen mehr(wie bei der KSK wo gesagt wurde, dass das risiko zu hoch ist, dass sie bald stirbt).
Ich weiß nicht weiter und verstehe dieses ganze Thema überhaupt nicht. Vielelicht könnt ihr mir helfen auch wenn es nicht direkt etwas mit BAuen zu tun hat. Das wäre wirklich nett und es würde mir wirklich helfen.
Gruß
Martina.

meine Frage ist vielleicht etwas aus der Reihe und hat im Grunde nicht direkt etwas mit Baufinanzierung zu tun. Nachdem meine Mutter (Rentnerin) vor einem halben Jahr schwer an Krebs erkrankt ist, versuche ich Ihre Schulden und Finanzen wieder auf Kurs zu kriegen, da sie nur gerade so über die Runden kommt.
Einer der unzähligen Punkte ist eine Restschuld, die sie bei der Bank hat. Sie muss noch etwa 17.000Euro abzahlen und zahlt jeden Monat 190Euro ab (seit dem Jahr 2003). Alle 3 Monate werden dann 350Euro wieder abgezogen (Zinsen). Ich kenne mich absolut nicht aus, doch mir hat jemand gesagt, dass das für jetzige Verhältnisse sehr viel Zinsen sind und dass sie ein Darlehen mit Variablen Zinssatz hat (EURIBOR) (Details im Anhang) und die Bank eigentlich die Zinsen an diesen anpassen muss (Ich weiß nicht was das bedeuten soll). Jedenfalls meinte die Dame bei der Bank, dass das nicht stimmt und das die 350Euro alle 3 Monate passen und auch wenn dieser EURIBO sinkt das nicht an den Zinsen meiner Mutter macht, stimmt das? Ich habe in einem Forum gelesen, dass die Zinsen angepasst werden sollten, die Bank es nicht getan hat und er nun klagt. Könnt Ihr mir vielleicht erklären wie sich dieser EURIBOR wert in zahlen (quantitativ) auf Ihre zu zahlenden Zinsen auswirkt, denn wenn meine Mutter bei steigenden EURIBO mehr zahlen muss kann es doh eigentlich nicht sein, dass sie seit 2003 immer den gleichen Zins zahlt (wie berechnet man den aktuellen Zins eigentlich den man gerade im monat zahlt aus dem was man bezahlt nud was an zinsen abgeht alle 3monate)? Ich habe bei der Bankdame jetzt so lange nachgebohrt, bis sie mir vorgeschlagen das ganze umzuschulden sprich das Darlehen aufzulösen und dafür ein neues mit einem niedrigen Zinsansatz zu vergeben. Ich habe aber angst, dass ich meine Mutter jetzt irgendwie in noch größere Probleme verwickle, obwohl ich ihr nur irgendwie helfen will. Muss ich da auf etwas aufpassen z.B. das er einmal die bestätigung kommt, dass der neue Kredit wirklich gewährt wird bevor sie den aktuellen ablöst. Dann vielleicht kriegt sie keinen neuen mehr(wie bei der KSK wo gesagt wurde, dass das risiko zu hoch ist, dass sie bald stirbt).
Ich weiß nicht weiter und verstehe dieses ganze Thema überhaupt nicht. Vielelicht könnt ihr mir helfen auch wenn es nicht direkt etwas mit BAuen zu tun hat. Das wäre wirklich nett und es würde mir wirklich helfen.
Gruß
Martina.
T
toxicmolotof14.09.17 23:37Wenn deine Angaben stimmen stinkt da wirklich was zum Himmel. Hast du die Kontoauszüge aus den letzten Jahren?
Der Euribor hat sich seit 2003 um etwa 2%-Punkte reduziert (nach einem zwischenzeitlichen Anstieg). Der aktuelle Zinssatz müsste also irgendwo bei 5,5% liegen (was evtl. je nach Sicherheit immer noch zu viel ist). Bei einer Annuität von 2.300 Euro p.a. und 1.400 Euro Zinsen dauert es ja so oder so noch mindestens 15 Jahre, bis der Kredit getilgt ist. Ein neues (besseres) (Festzins-)Angebot mit einer ähnlichen Laufzeit (bei der selben Bank) kann also nicht zwingend zum Nachteil werden.
Aber das ist insgesamt kein Thema für so ein Forum wie dieses. Da muss m.E. eher ein Fachanwalt für Kreditrecht dran. Zumindest sollte man überlegen, die 300 Euro für eine Erstberatung in die Hand zu nehmen, wenn sich festigt, was ich vermute.
Kannst du mir die Kontoauszüge per PN mal zukommen lassen? Insbesondere interessieren mich das erste Jahr, dann 2008 und 2009 und das letzte Jahr.
Der Euribor hat sich seit 2003 um etwa 2%-Punkte reduziert (nach einem zwischenzeitlichen Anstieg). Der aktuelle Zinssatz müsste also irgendwo bei 5,5% liegen (was evtl. je nach Sicherheit immer noch zu viel ist). Bei einer Annuität von 2.300 Euro p.a. und 1.400 Euro Zinsen dauert es ja so oder so noch mindestens 15 Jahre, bis der Kredit getilgt ist. Ein neues (besseres) (Festzins-)Angebot mit einer ähnlichen Laufzeit (bei der selben Bank) kann also nicht zwingend zum Nachteil werden.
Aber das ist insgesamt kein Thema für so ein Forum wie dieses. Da muss m.E. eher ein Fachanwalt für Kreditrecht dran. Zumindest sollte man überlegen, die 300 Euro für eine Erstberatung in die Hand zu nehmen, wenn sich festigt, was ich vermute.
Kannst du mir die Kontoauszüge per PN mal zukommen lassen? Insbesondere interessieren mich das erste Jahr, dann 2008 und 2009 und das letzte Jahr.
H
HilfeHilfe15.09.17 06:38Mal eine andere Frage . Besteht aus dem Kreis der Familie eine Möglichkeit ein Kleinkredit aufzunehmen und die 17.000€ abzulösen ? So könnte die Mutter diesen bedienen
B
Bieber081515.09.17 10:17Verbraucherzentrale wäre auch eine Möglichkeit.
Hallo zusammen danke für eure Hilfe. Ich werde wahrscheinlich einen Anwalt nehmen, doch ich habe schon zwei wegen anderer Dinge genommen und einen Steuerberater. Das hat mich jetzt schon 2000Euro gekostet. Deshalb bin ich ein wenig Klamm und muss auf den nächsten Monat warten. Also hier ein Auszug vom Konto von 2014 bspw. den ich gerade zur Hand hatte. Vielleicht könnte Ihr mir nur sagen, ob da nicht vielleicht irgendwas faul ist... Es kann sein, dass meine Mutter eine Rechtsschutz hat vielleicht kann ich dort mal anfragen.

T
toxicmolotof15.09.17 23:48Wurde der Zins seit 2003 wirklich nie angepasst und die eingangs gepostete Vereinbarung wurde seitdem wirklich nie geändert?
Hui... mindestens zur VBZ. Fachanwalt fände ich allerdings deutlich besser.
Der vereinbarte Zins ist in etwa Euribor + 5,5%, heute also etwa -0,4 + 5,5 = 5,1% (und nicht 7,5%)
Immer noch zu teuer, aber dennoch.
Bedenke aber bitte auch, dass der Zins so zwischendurch (2008) auch mal bei 10,5% lag. Die Änderungen wirken also in beide Richtungen!
Hui... mindestens zur VBZ. Fachanwalt fände ich allerdings deutlich besser.
Der vereinbarte Zins ist in etwa Euribor + 5,5%, heute also etwa -0,4 + 5,5 = 5,1% (und nicht 7,5%)
Immer noch zu teuer, aber dennoch.
Bedenke aber bitte auch, dass der Zins so zwischendurch (2008) auch mal bei 10,5% lag. Die Änderungen wirken also in beide Richtungen!
Ähnliche Themen