
Tolentino
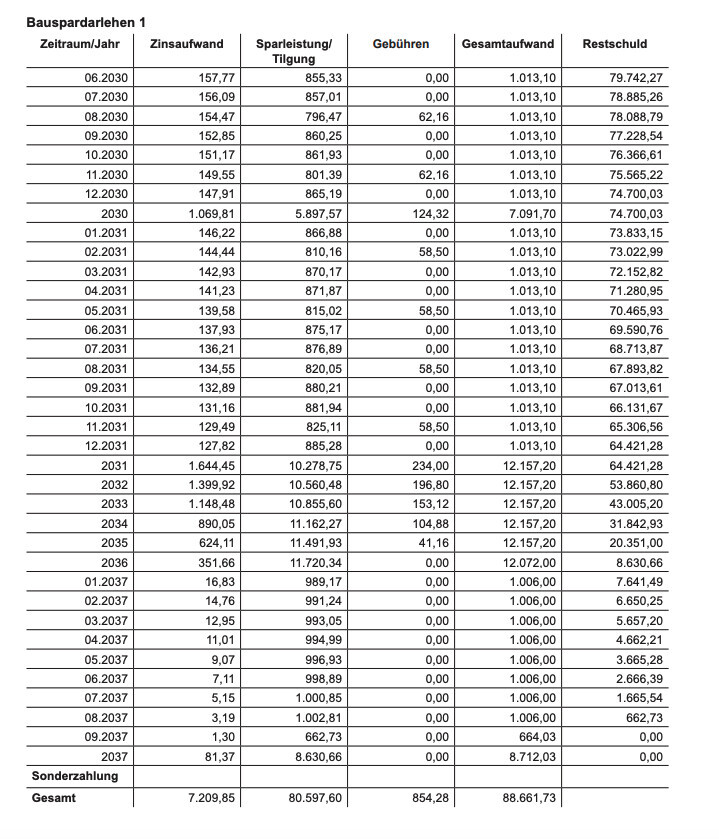
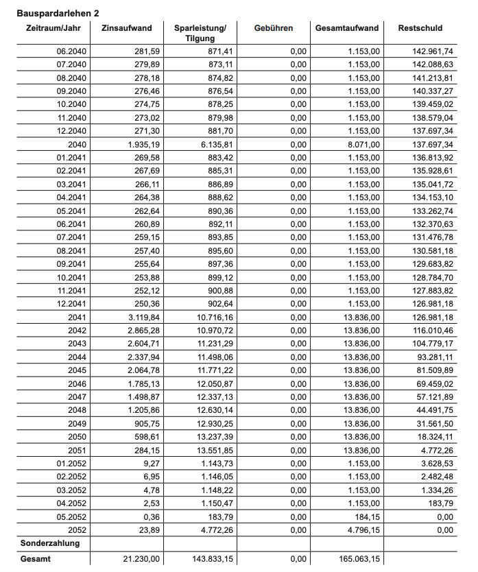
Dass es sich mit ziemlicher Sicherheit um ein endfälliges Darlehen in Verbindung mit einem teuren Bausparvertrag handelt, der keine Zinsen bringt (0,01%), noch dazu ohne eingebaute Tilgung während der Ansparphase. D.h., wenn ihr nicht selbst diszipliniert sondertilgt, baut ihr während der ganzen Zeit keine Schulden ab!1. Bausparkasse
Nominalzins: 1,39%
Tilgung: ???
Rate: ca. 750€
Laufzeit: 2052
Tendenz - Zur Zeit wäre Punkt 1 - man hätte wenn ich es richtig verstanden habe - Planungssicherheit für 32 Jahre und die Möglichkeiten der Sondertilgung. Wo ist hier der Haken?
Ob der Bausparer bei Auszahlung dann die Schulden begleichen kann, müsste man mal ausrechnen. Lass dir einen Anspar- und Tilgungsplan (bzw. Ratenzahlungsplan, getilgt wird ja regulär nichts) geben.