ᐅ Terrassendach und Abstandsflächen übernommen?
Erstellt am: 06.04.26 12:27
F
Franticypg schrieb:
4Eine Abstandsfläche ist nicht erforderlich vor Außenwänden, die an Grundstücksgrenzen errichtet werden, wenn nach planungsrechtlichen Vorschriften an die Grenze gebaut werden muss oder gebaut werden darf. 5Art. 63 bleibt unberührt.Das gilt sinngemäß auch für Terrassen und ihre Dächer, der entscheidende Passus ist "wenn nach planungsrechtlichen Vorschriften an die Grenze gebaut werden muß oder darf" (und so ist es ja bei DHH-Grundstücken). Trotzdem kann es für Mitleser nützlich sein, das besagte Formular hier einmal zu zeigen.
https://www.instagram.com/11antgmxde/
https://www.linkedin.com/company/bauen-jetzt/
Vielen Dank für eure Antworten.
Ich füge Folgendes bei:
einen Plan, der die Situation besser darstellt
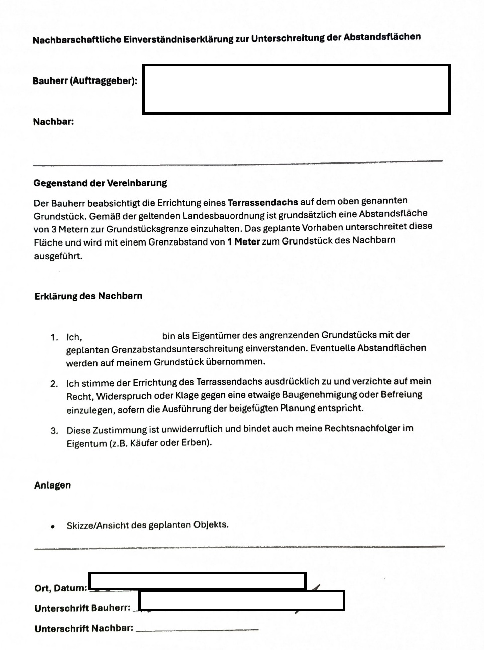
das Formular der Baufirma (formular.jpg)
das Formular des Bauamts
Das Bauamt teilte meinem Nachbarn mit, dass es sich nicht einmischen müsse, da die Terrassenüberdachung weniger als 3 Meter lang sei und daher keine Genehmigung erforderlich sei. Sie gaben ihm dieses Formular zur Genehmigung. Wir wohnen in einem kleinen Dorf, daher bin ich mir nicht sicher, wie erfahren unser Bauamt ist.
Ich bin Eigentümer des Hauses, genau wie mein Nachbar. Er ist zwar kein Muttersprachler, hat die Sprache aber gut gelernt (etwas, woran ich noch scheitere -_-" ).



Ich füge Folgendes bei:
einen Plan, der die Situation besser darstellt
das Formular der Baufirma (formular.jpg)
das Formular des Bauamts
Das Bauamt teilte meinem Nachbarn mit, dass es sich nicht einmischen müsse, da die Terrassenüberdachung weniger als 3 Meter lang sei und daher keine Genehmigung erforderlich sei. Sie gaben ihm dieses Formular zur Genehmigung. Wir wohnen in einem kleinen Dorf, daher bin ich mir nicht sicher, wie erfahren unser Bauamt ist.
Ich bin Eigentümer des Hauses, genau wie mein Nachbar. Er ist zwar kein Muttersprachler, hat die Sprache aber gut gelernt (etwas, woran ich noch scheitere -_-" ).
11ant schrieb:
Weshalb soll das Dach einen Meter Abstand zur gemeinsamen Grenze haben - tun Eure Terrassen das auch, oder ist das Dach zur Grenze hin geneigt und sie wollen mit dem Abstand sicherstellen, daß das Dach nicht zu Euch hin entwässert ?Sie wünschen sich eine Terrassenüberdachung mit einer Breite von maximal 8 Metern, da sonst ein zusätzlicher Stützpfosten in der Mitte benötigt wird. Daher bevorzugen sie eine 8-Meter-Überdachung, die einen Meter von der Trennlinie entfernt beginnt. Die Breite der Terrasse/des Hauses beträgt 9 Meter, daher der Abstand von 1 Meter.
N
nordanney07.04.26 15:24Ist es in Bayern nicht so, wiees das Bauamt auch sagt, weil die Überdachung ein eigener Bau ist? Also bei Bau von der Grenze entfernt die Abstandsflächen einzuhalten sind? Nur ein Bau genau auf der Grenze wäre ohne Folgen (mit passendem, aber damit etwas teurerem Anschluss zur Seite des Nachbarn.
M.W. muss man die Überdachung losgelöst von der DHH betrachten.
Bin aber in Bayer nicht tief genug in der Materie…
M.W. muss man die Überdachung losgelöst von der DHH betrachten.
Bin aber in Bayer nicht tief genug in der Materie…
Planlinks in Deiner Skizze ist wohl nur des Nachbarn Haus zu Ende, aber die Grenze zum Übernachbarn erst im üblichen Abstand, nehme ich doch an.
Ich habe Dir die Vereinbarung verändert, da die darin formulierten Behauptungen teilweise unzutreffend sind. Aus dem gleichen Grund brauchst Du auch die Abstandsflächenübernahme gegenüber dem Bauamt garnicht zu erklären, weil eine solche hier nicht zutrifft, greift oder hingehört.
In der veränderten Form kannst Du die Erklärung unbedenklich abgeben. Auch daß Deine Erben oder sonstigen Nacheigentümer Deines Hauses dazu mit verpflichtet werden, das Terrassendach des Nachbarn zu dulden und nicht anzugreifen, ist völlig in Ordnung.
Nicht in Ordnung ist nach meiner Kenntnis, daß der Nachbar das Dach von Eurer gemeinsamen Grenze zurückweichen lassen will. Ich sehe die Anbauverpflichtung auch auf das Terrassendach als "Nebenanlage" wirken; zum Übernachbarn (also auf seiner gegenüberliegenden seitlichen Grenze) kann er aber problemlos auch einen weiteren Meter Abstand halten, also dort einen vierten.
Sollte - was mich allerdings sehr überraschen würde - das Bauamt der Auffassung sein, das Terrassendach wäre nicht in die Anbauverpflichtung inbegriffen, müßte es tatsächlich drei Meter zu Eurer gemeinsamen Grenze einhalten (ob dadurch, daß er das Dach nur sechs Meter breit macht oder Du diesen Abstand übernimmst, wäre egal). Dies würde für Dein jetziges Haus bedeuten, daß Du weitere zwei (also insgesamt fünf) Meter Abstand mit der Errichtung Deines eigenen Terrassendaches zu halten hättest (und freilich auch auf ein Nachfolgergebäude auf Deinem Grundstück auswirken).
Ich halte dies aber hier nicht für anzuwenden, da die Terrasse und ihr Dach nach meiner Kenntnis auch von der by. LBO als Nebenanlagen zum Haus angesehen werden, das hier ja wegen der Doppelhausbebauung vom seitlichen Bauwich befreit ist. Anders läge das nach meiner Kenntnis nur, wenn der Nachbar in Abstand zum Haus im Garten eine Terrasse und/oder Überdachung errichten wollte.
Meines Wissens ist es in BY so, daß die Genehmigungsbehörde beim Kreisverwaltungsreferat sitzt (wo es m.W. auch Sprechstunden gibt) und das gemeindliche Bauamt lediglich als Vorprüfungsinstanz sein Empfehlungsvotum dazu abgibt; und daß beim gemeindlichen Bauamt auch die Rechtskenntnis entsprechend schwächer aufgestellt ist. Eure Anfrage an "Radio Eriwan" (= das Kreisverwaltungsreferat) müßte also lauten: "Ist die Annahme korrekt, daß im Falle einer Doppelhausbebauung die Anbauverpflichtung anstelle des bei Einzelhäusern üblichen seitlichen Bauwichs auch auf eine Terrassenüberdachung auswirkt, da diese unmittelbar an das Haus anschließend als Nebenanlage desselben zu werten ist ?" (in braver Einhaltung des Rechtsberatungsgesetzes habe ich das jetzt natürlich nicht für Euch formuliert, sondern Dir lediglich zur Kenntnis gegeben, welche Formulierung des Rechtsanwaltes ich vorausahne). Diese Auffassung - wohlgemerkt der zuständigen Behörde, und nicht ihrer Vorprüfungsinstanz - ist hier der Knackpunkt in der entscheidenden Frage, ob für die Terrasse und/oder ihre Überdachung eine eigenständige Abstandsverpflichtung greifen würde (was mich wie gesagt allerhöchst erstaunen würde).

https://www.instagram.com/11antgmxde/
https://www.linkedin.com/company/bauen-jetzt/
Ich habe Dir die Vereinbarung verändert, da die darin formulierten Behauptungen teilweise unzutreffend sind. Aus dem gleichen Grund brauchst Du auch die Abstandsflächenübernahme gegenüber dem Bauamt garnicht zu erklären, weil eine solche hier nicht zutrifft, greift oder hingehört.
In der veränderten Form kannst Du die Erklärung unbedenklich abgeben. Auch daß Deine Erben oder sonstigen Nacheigentümer Deines Hauses dazu mit verpflichtet werden, das Terrassendach des Nachbarn zu dulden und nicht anzugreifen, ist völlig in Ordnung.
Nicht in Ordnung ist nach meiner Kenntnis, daß der Nachbar das Dach von Eurer gemeinsamen Grenze zurückweichen lassen will. Ich sehe die Anbauverpflichtung auch auf das Terrassendach als "Nebenanlage" wirken; zum Übernachbarn (also auf seiner gegenüberliegenden seitlichen Grenze) kann er aber problemlos auch einen weiteren Meter Abstand halten, also dort einen vierten.
Sollte - was mich allerdings sehr überraschen würde - das Bauamt der Auffassung sein, das Terrassendach wäre nicht in die Anbauverpflichtung inbegriffen, müßte es tatsächlich drei Meter zu Eurer gemeinsamen Grenze einhalten (ob dadurch, daß er das Dach nur sechs Meter breit macht oder Du diesen Abstand übernimmst, wäre egal). Dies würde für Dein jetziges Haus bedeuten, daß Du weitere zwei (also insgesamt fünf) Meter Abstand mit der Errichtung Deines eigenen Terrassendaches zu halten hättest (und freilich auch auf ein Nachfolgergebäude auf Deinem Grundstück auswirken).
Ich halte dies aber hier nicht für anzuwenden, da die Terrasse und ihr Dach nach meiner Kenntnis auch von der by. LBO als Nebenanlagen zum Haus angesehen werden, das hier ja wegen der Doppelhausbebauung vom seitlichen Bauwich befreit ist. Anders läge das nach meiner Kenntnis nur, wenn der Nachbar in Abstand zum Haus im Garten eine Terrasse und/oder Überdachung errichten wollte.
Meines Wissens ist es in BY so, daß die Genehmigungsbehörde beim Kreisverwaltungsreferat sitzt (wo es m.W. auch Sprechstunden gibt) und das gemeindliche Bauamt lediglich als Vorprüfungsinstanz sein Empfehlungsvotum dazu abgibt; und daß beim gemeindlichen Bauamt auch die Rechtskenntnis entsprechend schwächer aufgestellt ist. Eure Anfrage an "Radio Eriwan" (= das Kreisverwaltungsreferat) müßte also lauten: "Ist die Annahme korrekt, daß im Falle einer Doppelhausbebauung die Anbauverpflichtung anstelle des bei Einzelhäusern üblichen seitlichen Bauwichs auch auf eine Terrassenüberdachung auswirkt, da diese unmittelbar an das Haus anschließend als Nebenanlage desselben zu werten ist ?" (in braver Einhaltung des Rechtsberatungsgesetzes habe ich das jetzt natürlich nicht für Euch formuliert, sondern Dir lediglich zur Kenntnis gegeben, welche Formulierung des Rechtsanwaltes ich vorausahne). Diese Auffassung - wohlgemerkt der zuständigen Behörde, und nicht ihrer Vorprüfungsinstanz - ist hier der Knackpunkt in der entscheidenden Frage, ob für die Terrasse und/oder ihre Überdachung eine eigenständige Abstandsverpflichtung greifen würde (was mich wie gesagt allerhöchst erstaunen würde).
https://www.instagram.com/11antgmxde/
https://www.linkedin.com/company/bauen-jetzt/